1. 인발(引拔)가공이란
봉 또는 관형태의 재료를 입구쪽이 넓고 출구쪽이 좁은 다이스(DIES)를 통하여
당겨 단면적을 감소시켜 원하는 단면을 얻고자하는 가공법이다.
최종제품의 지름에 따라 봉인발(직경6mm이상) 또는신선가공(직경6mm미만)
으로 불린다.
중공관(강관)이 다이스를 통과 할때 맨드렐을 사용하지 않는 경우는 공인발
이라고하고, 관의 내경의 크기를 일정하게 하기 위하여 맨드렐을 사용할 경우
관인발이라고 한다.
2. 인발공정:
열처리→산세→윤활처리→구부→인발

3. 드로잉(인발) 응력에 영향을 미치는 인자
영향을 주는 인자로는 단면감소율, 금형의 모양(드로잉 힘이 최소로 되는 다이스 각도),
마찰(윤활제 도포)등을 들 수있다.
인발(드로잉)시 얻을 수있는 최대 감소율은 재료가 금형을 빠져 나왔을때 그재료의
항복응력을 드로잉 응력이 초과 할 수없다는 사실로 부터 구할 수있다.
만약 인발 응력이 금형을 통해 가공되어 빠져 나온 재료의 항복응력을 초과 한다면
그 재료는 금형을 빠져나온 후에도 더욱 변형이 되어 모양이 나빠지든지 끊어지게 된다.
4. 다이 각도(angle of die)
단면 감소율은 다이각이 어떤 각도가 될 때 인발 응력이 최소로 된다.
일반적으로 단면감소율의 증가와 더불어
가장 적당한 다이의 각도는 증가된다. 역장력이 작용하면 다이 각도의 영향이 작아지고
다이의 선택 범위가 넓게 된다.
5. 역장력
다이에 들어가기 전의 재료에는 인발 방향과는 반대 방향에 작용하는 장력,
즉 역장력 이라하는데, 인발응력은 역장력 또는 그 이상의 장력을 가하면서 인발가공한다.
일반적으로 역장력이 증가됨에 따라 인발응력도 증가된다.
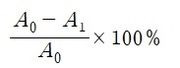
6. 단면감소율(%)
감면율이라고도 하며 다음의 식과 같이 나타낸다

* A0, A1 : 인발 전후의 단면적
이것은 인발률이라고 할 수 있다. 다이각이 일정할 때에는 대체로 인발응력은 감면율에
비례하여 증가된다.
단면감소율을 크게 하면 목적하는 지름까지의 인발 횟수를 작게 할 수 있고 능률을 크게
할 수 있다. 그러나 동시에 인발응력이 증가되어 어떤 한도에 도달하면 절단되어 인발이
불가능하게 된다.
1) 경강선 : 20~25%
2) 연강선 : 28~35%
3) 피아노선 : 15~30%
4) 강철 파이프 : 15~20%
이상으로 인발가공에 대하여 알아 보았습니다.
감사합니다~
'강관' 카테고리의 다른 글
| 스테인리스 강(Stainless Steel) (2) | 2024.10.23 |
|---|---|
| 스테인리스(Stainless) 강관 (0) | 2024.10.21 |
| 용융아연도금 강판 및 강대 (KS D3506) (0) | 2024.09.13 |
| 백관의 아연 도금 특성(부착량) (4) | 2024.09.11 |
| 용융아연도금 강관의 결함(불량) (4) | 2024.09.04 |